ANS is committed to advancing, fostering, and promoting the development and application of nuclear sciences and technologies to benefit society.
Explore the many uses for nuclear science and its impact on energy, the environment, healthcare, food, and more.
Explore membership for yourself or for your organization.
Conference Spotlight
2026 ANS Annual Conference
May 31–June 3, 2026
Denver, CO|Sheraton Denver
Latest Magazine Issues
Apr 2026
Jan 2026
Latest Journal Issues
Nuclear Science and Engineering
June 2026
Nuclear Technology
April 2026
Fusion Science and Technology
May 2026
Latest News
Diablo Canyon advocacy, Midwest nuclear legislation among April state news items
Pending, passed, and coveted legislation involving nuclear energy made their way across multiple state capitol buildings in the month of April. Here are a few notable updates from California, Iowa, Kentucky, and Missouri.
T. T. Claudson, R. W. Barker, R. L. Fish
Nuclear Technology | Volume 9 | Number 1 | July 1970 | Pages 10-23
Fuel Cladding Model | Symposium on Theoretical Models for Predicting In-Reactor Performance of Fuel and Cladding Material | doi.org/10.13182/NT70-A28723
Articles are hosted by Taylor and Francis Online.
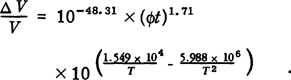
Fast-neutran irradiations in the EBR-II have been completed an biaxial stress rupture, creep, and tensile specimens of AISI 304 and 316 stainless steel. Postirradiation test results show that irradiations in the 480 to 650°C range to fluences of 1 × 1022 n/cm2 (E > 0.1 MeV) substantially reduce the time-dependent rupture life and ductility of these materials. Tensile ductility is also severely reduced. Bulk-density measurements and electron-microscopy examinations on specimens of annealed 304 from EBR-II core components and mechanical property specimens have been made for fluence levels to 7 × 1022 n/cm2 and at temperatures in the 360 to 470°C range. Both the bulk-density measurements and microscopy examinations correlate well and indicate that volume changes of 4% can be expected under these conditions. The temperature and fluence dependency for annealed 304 stainless steel has been determined and can be expressed as: The mechanisms responsible for the observed degradation of mechanical properties and metal swelling are being studied. Some observatians are presented. However, as yet, no adequate nucleatian and growth model has been determined to enable an acceptable extrapolatian of these data-to-goal fluence levels to be achieved in Liquid Metal Fast Breeder Reactor core companents or fuel-pin cladding.