ANS is committed to advancing, fostering, and promoting the development and application of nuclear sciences and technologies to benefit society.
Explore the many uses for nuclear science and its impact on energy, the environment, healthcare, food, and more.
Explore membership for yourself or for your organization.
Conference Spotlight
2026 ANS Annual Conference
May 31–June 3, 2026
Denver, CO|Sheraton Denver
Latest Magazine Issues
May 2026
Jan 2026
Latest Journal Issues
Nuclear Science and Engineering
June 2026
Nuclear Technology
April 2026
Fusion Science and Technology
Latest News
Oklo continues plutonium fuel development with LANL and Nvidia partnership
Oklo announced a new partnership with Los Alamos National Laboratory and Nvidia to perform AI-enabled research on nuclear infrastructure and fuel.
The partnership is focused on exploring plutonium-bearing fuels, including the development of science-based AI models to support fuel validation and materials science and fabrication research and development. The team will also be exploring the development of nuclear-powered AI computing centers at LANL.
R. E. Moore, J. H. Shaffer, C. F. Baes, Jr., H. F. McDuffie, C. E. L. Bamberger
Nuclear Science and Engineering | Volume 17 | Number 2 | October 1963 | Pages 268-273
Solvent Extraction Chemistry Symposium. Part II. | doi.org/10.13182/NSE63-A28889
Articles are hosted by Taylor and Francis Online.
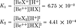
A solvent extraction process for the purification of beryllium has been described previously in which ethylenediamine tetraacetic acid (EDTA) is used as a masking or sequestering agent to retain metallic impurities in an aqueous phase from which the beryllium is extracted into an organic phase (CCl4) as a complex with acetylacetone (HX). Subsequent back extraction of the beryllium into nitric acid, followed by the precipitation of beryllium hydroxide, filtering, drying, and calcination to 1000°C, has given BeO products of high purity. Approximately 1300 gm of BeO have been prepared in 23 batches. The average impurity content of these batches (based on BeO) has been very low—less than 10 ppm each of Ca, Al, and Si; less than 5 ppm each of Fe, Mg, and Cu; all other metallic impurities were below the level of detection by the spectrographic method of analysis. The maximum impurity contents for individual metallic species among all these batches were, in ppm BeO, Al-9, Ca-10, Cu-13, Mg-5, Fe-10, Si-11; these are considered to reflect the difficulty of keeping small batches free from contamination by dusty air and should not occur in larger operations. A quantitative treatment of the extraction equilibria and masking equilibria involved in the process has been undertaken. Spectrophotometric analytic techniques recently applied to the simultaneous determination of acetylacetone and its beryllium complex have greatly facilitated this study; radioactive beryllium-7 has been used as a tracer to make possible the rapid determination of distribution coefficients. The results have generally been as expected; the formation constants for the mono- and di-acetylacetonates of beryllium were calculated (at I = 0.10) to be: Anomalously high distribution coefficients were noted under conditions associated with the presence of high concentrations of NaCl, and even the disodium salt of EDTA, in the aqueous phase. The significance of the anomalous conditions is discussed in terms of water activity and the degree of hydration of the acetylacetone complex of beryllium.