ANS is committed to advancing, fostering, and promoting the development and application of nuclear sciences and technologies to benefit society.
Explore the many uses for nuclear science and its impact on energy, the environment, healthcare, food, and more.
Explore membership for yourself or for your organization.
Conference Spotlight
2026 ANS Annual Conference
May 31–June 3, 2026
Denver, CO|Sheraton Denver
Latest Magazine Issues
May 2026
Jan 2026
Latest Journal Issues
Nuclear Science and Engineering
June 2026
Nuclear Technology
April 2026
Fusion Science and Technology
Latest News
Nuclear Energy Strategy announced at CNA2026
At the Canadian Nuclear Association Conference (CNA2026) in Ottawa, Ontario, on April 29, Minister of Energy and Natural Resources Tim Hodgson announced that Natural Resources Canada (NRCan) is developing a new Nuclear Energy Strategy for the country. The strategy, which is slated to be released by the end of this year, will be based on four objectives: 1) enabling new nuclear builds across Canada, 2) being a global supplier and exporter of nuclear technology and services, 3) expanding uranium production and nuclear fuel opportunities, and 4) developing new Canadian nuclear innovations, including in both fission and fusion technologies.
A. G. Buyers, E. W. MURBACH
Nuclear Science and Engineering | Volume 2 | Number 5 | September 1957 | Pages 679-686
Technical Paper | doi.org/10.13182/NSE57-A25435
Articles are hosted by Taylor and Francis Online.
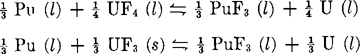
A study involving equilibration at 1573°K of fused uranium tetrafluoride and molten irradiated uranium has permitted calculation of the free energy of formation of plutonium trifluoride at 1573°K. During equilibration it is assumed that plutonium is extracted into molten uranium fluoride as represented by one of the following equations: Free energy values for the formation of plutonium trifluoride are calculated from experimentally determined equilibrium constants and the free energy of formation of uranium tetrafluoride, using the expression: The free energy of formation at 1573°K for PuF3 was found to be 93 ° 1.5 kcal/equivalent as compared to an estimated value of 94 kcal/equivalent at 1500°K based on earlier work by Brewer, Bromley, Gilles, and Lofgren.