ANS is committed to advancing, fostering, and promoting the development and application of nuclear sciences and technologies to benefit society.
Explore the many uses for nuclear science and its impact on energy, the environment, healthcare, food, and more.
Explore membership for yourself or for your organization.
Conference Spotlight
2026 ANS Annual Conference
May 31–June 3, 2026
Denver, CO|Sheraton Denver
Latest Magazine Issues
May 2026
Jan 2026
2026
Latest Journal Issues
Nuclear Science and Engineering
June 2026
Nuclear Technology
Fusion Science and Technology
Latest News
NRC proposes changes to its rules on nuclear materials
In response to Executive Order 14300, “Ordering the Reform of the Nuclear Regulatory Commission,” the NRC is proposing sweeping changes to its rules governing the use of nuclear materials that are widely used in industry, medicine, and research. The changes would amend NRC regulations for the licensing of nuclear byproduct material, some source material, and some special nuclear material.
As published in the May 18 Federal Register, the NRC is seeking public comment on this proposed rule and draft interim guidance until July 2.
M. Segev
Nuclear Science and Engineering | Volume 81 | Number 2 | June 1982 | Pages 151-160
Technical Paper | doi.org/10.13182/NSE82-A20082
Articles are hosted by Taylor and Francis Online.
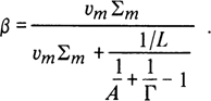
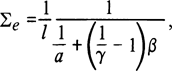
Let the lattice consist of an infinite uniform distribution of clusters in an (external) moderator, and let the cluster consist of a uniform distribution of absorber lumps in an (internal) moderator. The lattice is characterized by the parameters: cluster mean chord length, L; probability of neutrons leaving a cluster to collide in the external moderator prior to crossing a cluster, Γ; adjustable Bell factor for the clusters, A; lump mean chord length, I; probability of neturons leaving a lump (in an infinite cluster) to collide in the internal moderator prior to crossing a lump, γ; adjustable Bell factor for the lumps, a; internal moderator volume fraction in the cluster, υm; internal moderator macroscopic cross section, Σm. The flux in (or resonance integral of) the absorber lump is equivalent to the flux in (or resonance integral of) an infinite medium consisting of the lump material, homogenously mixed with a moderator of cross section Σe, given by where The expression for Σe is quite general, the only restriction on the lattice structure being that a cluster contain many lumps. The factor β can be termed the “double heterogeneity” factor abbreviated “doublet.” In the limit of an infinite single cluster β → 1, yielding the correct single heterogeneity expression for Σe. In the limit of small lump volume fractions, the expression for Σe reduces to the expression of Goldstein, as derived from the work of Lane et al. Goldstein's formulation was successfully compared with the experimental data of Lewis and Conolly. The WIMS formulation for a single cluster is almost equivalent to the above formulas with a difference that becomes significant only if the cluster contains a small number of lumps. The equivalence formulations by Tsuchihashi et al., as well as by Stamatelatos, yield results which are discrepant with those of the formulations discussed above and, therefore, have to be judged unsatisfactory.