ANS is committed to advancing, fostering, and promoting the development and application of nuclear sciences and technologies to benefit society.
Explore the many uses for nuclear science and its impact on energy, the environment, healthcare, food, and more.
Explore membership for yourself or for your organization.
Conference Spotlight
2026 ANS Annual Conference
May 31–June 3, 2026
Denver, CO|Sheraton Denver
Latest Magazine Issues
May 2026
Jan 2026
2026
Latest Journal Issues
Nuclear Science and Engineering
June 2026
Nuclear Technology
Fusion Science and Technology
Latest News
NRC proposes changes to its rules on nuclear materials
In response to Executive Order 14300, “Ordering the Reform of the Nuclear Regulatory Commission,” the NRC is proposing sweeping changes to its rules governing the use of nuclear materials that are widely used in industry, medicine, and research. The changes would amend NRC regulations for the licensing of nuclear byproduct material, some source material, and some special nuclear material.
As published in the May 18 Federal Register, the NRC is seeking public comment on this proposed rule and draft interim guidance until July 2.
J. K. Fletcher
Nuclear Science and Engineering | Volume 77 | Number 3 | March 1981 | Pages 367-372
Technical Note | doi.org/10.13182/NSE81-A19846
Articles are hosted by Taylor and Francis Online.
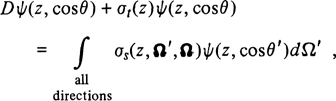
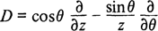
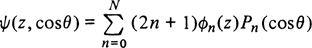
The source-free monoenergetic transport equation can be written as where for plane and for spherical geometries, respectively; Ω is the direction of motion with θ as its angle to the axis, An analytic expression for ψ(Z, cosθ) of the form is considered where Pn(cosθ) is the Legendre polynomial of order n; are combinations of exponential functions for the plane case and Bessel functions in the spherical formulation. A simple algorithm is developed that enables solutions to be found for any N using a small computer program.