ANS is committed to advancing, fostering, and promoting the development and application of nuclear sciences and technologies to benefit society.
Explore the many uses for nuclear science and its impact on energy, the environment, healthcare, food, and more.
Explore membership for yourself or for your organization.
Conference Spotlight
2026 ANS Annual Conference
May 31–June 3, 2026
Denver, CO|Sheraton Denver
Latest Magazine Issues
May 2026
Jan 2026
Latest Journal Issues
Nuclear Science and Engineering
June 2026
Nuclear Technology
April 2026
Fusion Science and Technology
Latest News
Nuclear Energy Strategy announced at CNA2026
At the Canadian Nuclear Association Conference (CNA2026) in Ottawa, Ontario, on April 29, Minister of Energy and Natural Resources Tim Hodgson announced that Natural Resources Canada (NRCan) is developing a new Nuclear Energy Strategy for the country. The strategy, which is slated to be released by the end of this year, will be based on four objectives: 1) enabling new nuclear builds across Canada, 2) being a global supplier and exporter of nuclear technology and services, 3) expanding uranium production and nuclear fuel opportunities, and 4) developing new Canadian nuclear innovations, including in both fission and fusion technologies.
E. Creutz
Nuclear Science and Engineering | Volume 20 | Number 1 | September 1964 | Pages 28-44
Technical Paper | doi.org/10.13182/NSE64-A19272
Articles are hosted by Taylor and Francis Online.
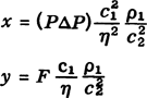
The flow rates of gases at room temperature through various porous materials have been measured for large ranges of average pressure and pressure difference across the samples such that PΔP for a given sample varies by factors as large as 106. These rates are proportional to (PΔP)γ where γ decreases from 1 to 0.5 as the flow increases and 7 for a given medium is a function of an effective Reynolds number only, independent of the gas used. All the data, including those for transition flow, may be expressed by the following equation: where F is an average flow rate of gas passing through the medium measured in units of cm3/sec at 1 atm pressure, the coefficients c1 and c2 depend only on the properties of the porous medium and can be determined from experiments at low rates of laminar flow and high rates of fully turbulent flow, respectively, the coefficient α is given by ln 2, where ρ1 is the gas density at 1 atm pressure and room temperature, and η is the viscosity. Making the transformation and changing to the exponential base 2, the general equation becomes This dimensionless equation egresses experimental data for a variety of gases and porous media as examined in this study over a range of about 1011 for the variable x and about 2 × 109 for the variable y. It also egresses some data of others on flow through various porous metals and through beds of granular solids. Mean hydraulic radii of pores, effective numbers of pores, friction factors, and surface-roughness factors for the samples investigated are given.