ANS is committed to advancing, fostering, and promoting the development and application of nuclear sciences and technologies to benefit society.
Explore the many uses for nuclear science and its impact on energy, the environment, healthcare, food, and more.
Explore membership for yourself or for your organization.
Conference Spotlight
2026 ANS Annual Conference
May 31–June 3, 2026
Denver, CO|Sheraton Denver
Latest Magazine Issues
May 2026
Jan 2026
Latest Journal Issues
Nuclear Science and Engineering
June 2026
Nuclear Technology
April 2026
Fusion Science and Technology
Latest News
Nuclear Energy Strategy announced at CNA2026
At the Canadian Nuclear Association Conference (CNA2026) in Ottawa, Ontario, on April 29, Minister of Energy and Natural Resources Tim Hodgson announced that Natural Resources Canada (NRCan) is developing a new Nuclear Energy Strategy for the country. The strategy, which is slated to be released by the end of this year, will be based on four objectives: 1) enabling new nuclear builds across Canada, 2) being a global supplier and exporter of nuclear technology and services, 3) expanding uranium production and nuclear fuel opportunities, and 4) developing new Canadian nuclear innovations, including in both fission and fusion technologies.
A. B. Smith
Nuclear Science and Engineering | Volume 18 | Number 1 | January 1964 | Pages 126-129
Technical Paper | doi.org/10.13182/NSE64-A18149
Articles are hosted by Taylor and Francis Online.
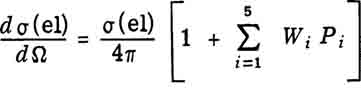
The differential cross section for the elastic scattering of neutrons from U235 was measured at ∼ 50-keV intervals throughout the incident neutron energy range 0.3 to 1.5 MeV. Pulsed-beam time-of-flight techniques were employed to resolve the elastically scattered neutrons from those inelastically scattered and from the spectrum of fission neutrons. The experimental resolution extended from ∼ 25 to ∼ 65 keV at respective neutron energies of 0.3 and 1.5 MeV. All neutrons incurring an energy loss at the time of scattering, equal to or less than the respective resolution function, were considered “elastically” scattered. The experimental results were expressed in the form where σ(el) is the total elastic cross section, Pi are Legendre polynomials, and Wi are experimentally determined coefficients. The elastic transport cross section was derived from the measurements.