ANS is committed to advancing, fostering, and promoting the development and application of nuclear sciences and technologies to benefit society.
Explore the many uses for nuclear science and its impact on energy, the environment, healthcare, food, and more.
Explore membership for yourself or for your organization.
Conference Spotlight
2026 ANS Annual Conference
May 31–June 3, 2026
Denver, CO|Sheraton Denver
Latest Magazine Issues
May 2026
Jan 2026
2026
Latest Journal Issues
Nuclear Science and Engineering
June 2026
Nuclear Technology
Fusion Science and Technology
Latest News
NRC proposes changes to its rules on nuclear materials
In response to Executive Order 14300, “Ordering the Reform of the Nuclear Regulatory Commission,” the NRC is proposing sweeping changes to its rules governing the use of nuclear materials that are widely used in industry, medicine, and research. The changes would amend NRC regulations for the licensing of nuclear byproduct material, some source material, and some special nuclear material.
As published in the May 18 Federal Register, the NRC is seeking public comment on this proposed rule and draft interim guidance until July 2.
Anil Kumar, M. Srinivasan, K. Subba Rao
Nuclear Science and Engineering | Volume 84 | Number 2 | June 1983 | Pages 155-164
Technical Note | doi.org/10.13182/NSE83-A17722
Articles are hosted by Taylor and Francis Online.
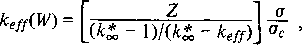
The Trombay criticality formula (TCF) has been derived by incorporating a number of well-known concepts of criticality physics to enable prediction of changes in critical size or keff following alterations in geometrical and physical parameters of uniformly reflected small reactor assemblies characterized by large neutron leakage from the core. The variant parameters considered are size, shape, density and diluent concentration of the core, and density and thickness of the reflector. The mass-to-surface-area ratio of the core, is essentially a measure of the product ρr extended to nonspherical systems and plays a dominant role in the TCF. The functional dependence of keff on σ/σc, the system size relative to critical, is expressed in the TCF through two alternative representations, namely the modified Wigner rational form and the exponential form as follows: where is the k∞ of the critical system. The quantity in the square brackets is close to unity and Z is a parameter weakly dependent on both the physical and geometrical properties of the core, where θ = ln[/( - 1)] and ε is a parameter introduced to account for the steep rise in the net leakage probability for highly subcritical cores. The applications of the TCF range from the quick computation of the keff of a lump of fissile fuel having arbitrary shape and density through the study of keff of highly enriched fissile materials during transportation accidents to an estimation of the void and fuel expansion coeffficients of reactivity in high leakage systems.