ANS is committed to advancing, fostering, and promoting the development and application of nuclear sciences and technologies to benefit society.
Explore the many uses for nuclear science and its impact on energy, the environment, healthcare, food, and more.
Explore membership for yourself or for your organization.
Conference Spotlight
2026 ANS Annual Conference
May 31–June 3, 2026
Denver, CO|Sheraton Denver
Latest Magazine Issues
May 2026
Jan 2026
Latest Journal Issues
Nuclear Science and Engineering
June 2026
Nuclear Technology
April 2026
Fusion Science and Technology
Latest News
Oklo continues plutonium fuel development with LANL and Nvidia partnership
Oklo announced a new partnership with Los Alamos National Laboratory and Nvidia to perform AI-enabled research on nuclear infrastructure and fuel.
The partnership is focused on exploring plutonium-bearing fuels, including the development of science-based AI models to support fuel validation and materials science and fabrication research and development. The team will also be exploring the development of nuclear-powered AI computing centers at LANL.
A. P. Jain, R. E. Chrien, J. A. Moore, H. Palevsky
Nuclear Science and Engineering | Volume 17 | Number 3 | November 1963 | Pages 319-324
Technical Paper | doi.org/10.13182/NSE63-A17377
Articles are hosted by Taylor and Francis Online.
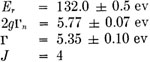
An accurate determination of the parameters of the resonance excited by the interaction of 132 ev neutrons with the Co59 target nucleus has been made, using the fast choppers at Brookhaven National Laboratory in the United States and Chalk River Laboratory in Canada. Neutron transmission through thick and thin samples resulted in the following parameters: In addition, measurements of the resonance capture γ-ray intensity gave the value for the radiation width #x0413;γ = 0.40 ± 0.04 ev. based on the known thermal capture cross section of cobalt of 37.5 barns. The reduced and total resonance capture integrals are calculated from the above parameters to be 50.5 ± 5.5 and 67.C ± 5 5 barns, respectively. The above results are compared with previously determined resonance parameters and also with direct measurements of the total resonance capture integral.